Design information for engineers, such as spring calculation formulas,
which are the basis of spring design, can be found here.
In the design specifications of the spring shown in the figure, calculate the load and stress when the spring is at its solid height.
Plate thickness: 12.5 mm, outer ring outer diameter: φ63 mm, inner ring inner diameter: φ52.9 mm, average diameter of contact surface φ57.5 mm, gap between the rings: 2.5 mm, number of contact surfaces: 16, angle of contact surface: 15°, friction angle: 8.5

Calculate the cross-sectional dimensions.

Calculate the cross-sectional area.

Calculate the inner diameter of the outer ring.

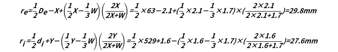
Calculate the center of gravity.

Calculate the spring constant.
When pressurizing

When decompressing

Calculate the deflection when the spring is at its solid height

Calculate the load when the spring is at its solid height
When pressurizing

When decompressing

Calculate the load when the spring is at its solid height
When pressurizing

When decompressing

The inclination angle of the contact surface can be calculated up to 12°, but it should be noted that depending on the surface finish, the rings may often get caught and not return to their original height.
The friction angle changes depending on the surface finish and the lubrication method, and therefore it must be decided in consideration of the manufacturing finish.
As a guideline, it is recommended that the plate thickness be about 16% to 20% of the outer diameter of the outer ring. In addition, it is said that the clearance when the spring is at its free height should be about 25% of the plate thickness.
It is necessary to design the maximum usage stress of the spring with a tensile stress of 1,100 N/mm² or less for the outer ring and a compressive stress of 1300 N/mm² or less for the inner ring.